New study on how to navigate sampling bias in discrete phylogeographic analysis using an adjusted Bayes factor

Published on November 03, 2025, by Fabiana Gámbaro

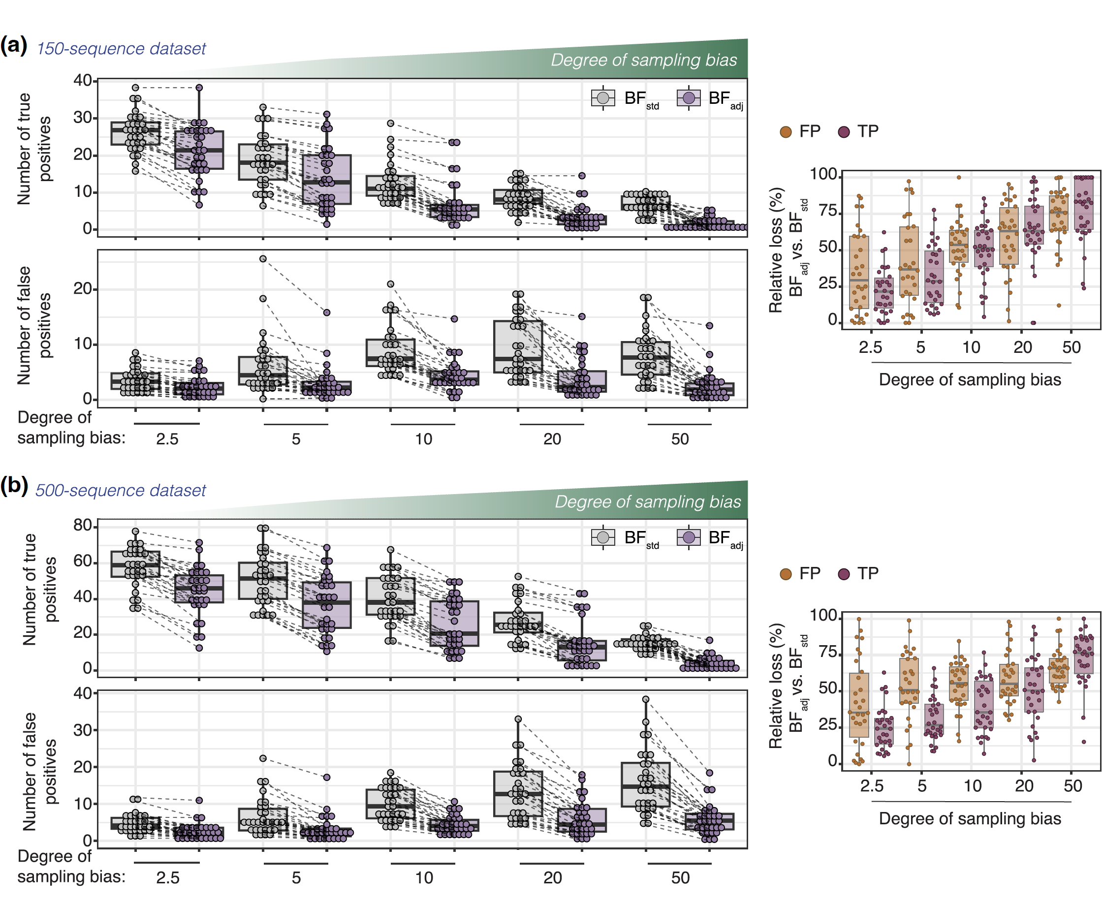
Bayesian phylogeographic inference is widely used in molecular epidemiological studies to reconstruct the dispersal history of pathogens. Discrete phylogeographic analysis treats geographic locations as discrete traits and infers lineage transition events among them, and is typically followed by a Bayes factor (BF) test to assess the statistical support. In the standard BF (BFstd) test, the relative abundance of the involved trait states is not considered, which can be problematic in the case of unbalanced sampling. Existing methods to correct sampling bias in discrete phylogeographic analyses using continuous-time Markov chain (CTMC) model, often require additional epidemiological information to balance the sampling effort among locations. As such data is not necessarily available, alternative approaches that rely solely on available genomic data are needed. In this new study just published in Molecular Biology & Evolution, we assess the performance of a modification of the BFstd, the adjusted Bayes factor (BFadj), which incorporates information on the relative abundance of samples by location when inferring support for transition events and root location inference without requiring additional data. Using a simulation framework, we assess the statistical performance of BFstd and BFadj under varying levels of sampling bias, estimating their type I and type II error rates. Our results show that BFadj complements the BFstd by reducing type I errors at the cost increasing type II errors for inferred transition events, while improving type I and type II errors in root location inference. Our findings provide guidelines for implementing the complementary BFadj to detect and mitigate sampling bias in discrete phylogeographic inference using CTMC modeling. Read the whole study here.

Figure Figure 2: assessment of the statistical performance of the adjusted Bayes factor (BFadj) in attributing statistical support to transition events inferred through a discrete phylogeographic analysis using CTMC modeling. Specifically, we here analyze the impact of the use of the BFadj}, instead of the use of the standard BF (BFstd) on the number of true positive (TP) and false positive (FP) transition events inferred through a discrete phylogeographic analysis under increasing levels of sampling bias. In a) and b), we report the number of TP and FP transition events inferred by discrete phylogeographic analyses conducted on 30 datasets simulated by sampling scenario. c) Relative loss of TPs and FPs for the different sampling scenarios for the 150 (left) and 500-sequence datasets (right). For each simulation (n = 30), the relative loss of TPs (or FPs) was calculated as the percentage decrease in TPs (or FPs) when using the BFadj relative to the standard BFstd (see the Methods section for further details).

Reference: Gámbaro F, Layan M, Baele G, Vrancken B, Dellicour S (2025). Navigating sampling bias in discrete phylogeographic analysis: assessing the performance of an adjusted Bayes factor. Molecular Biology & Evolution 42: msaf253